Lompat ke konten Lompat ke sidebar Lompat ke footer

Integral Tanzalin - Soal Tentukan Integral Dari Fungsi Fungsi Berikut Ini Dengan Menggunakan Teknik Tanzalin Intx / Untuk penjelasan teknik integral parsial, silahkan baca artikelnya pada link "teknik integral parsial".

We just look at all the terms with the i 's and perform multiplication and that to simplify. \displaystyle {d} {u}= {2} {x}\ Menghitung luas dengan membagi kotak. Dv dx ʃ dv dx oleh karena itu ada suatu metode yang mempermudah pengerjaan integral parsial yang disebut dengan aturan tanzalin. = re((eiπ 2)(120 − 120i(π 2) − 60(π2 4) + 20i(π3 8) + 5(π4 16) − i(π5 32)) − 120.

Luas daerah yang dibatasi oleh kurva y = 4 x − x 2, y = x 2 − 6 x, garis x = 0, dan x = 4 adalah. Integral Parsial Teknik Tanzalin 2 Kumpulan Materi Soal Dan Jawaban Lengkap
Integral Parsial Teknik Tanzalin 2 Kumpulan Materi Soal Dan Jawaban Lengkap from 4.bp.blogspot.com
X n dx = 1 1 1 n n x + c 4. 20200830 latihan soal penilaian tengah semester pts 1 matematika kelas 7 smp k13 berbentuk pilihan ganda dengan empat alternatif jawaban.latihan soal uts pts matematika kelas 7 semester 1 ganjil kurikulum 2013. Usehingga kita dapat menggunakan substitusi. (we need to choose this term for the derivatives column because it will disappear after a few steps.) Kalimat negatif bahasa arab refleksi dan blog tutorial. R5 g kel 3 kal2 1. Oleh karena itu ada satu teknik yang dapat membantu kita dalam menyelesaikan masalah integral parsial ini dengan menggunakan metode tanzalin. Salah satu cara menyelesaikan integral yaitu bisa menggunakan teknik parsial atau tanzalin.

Namun terkadang kita menemukan kesulitan dalam mengambil pemisalan u dan dv.

In this case bernoulli's formula helps to find the solution easily. Jawaban lengkap dari soal un dan sbmptn untuk kelas 11. Contoh soal integral parsial dalam blog contoh soal pilihan ganda berikut berisi tentang contoh soal dan pembahasan integral parsial yang semoga dapat bermanfaat bagi sahabat sekalian. 20200830 latihan soal penilaian tengah semester pts 1 matematika kelas 7 smp k13 berbentuk pilihan ganda dengan empat alternatif jawaban.latihan soal uts pts matematika kelas 7 semester 1 ganjil kurikulum 2013. But the question does not contain an `x\ And v, v 1, v 2, v 3, are successive integrals of dv. integral x 2x 1 pangkat 3 dx brainly co id. Differentiate with respect to the independent variable. Pertama, kita pisahkan menjadi 2 fungsi. Pada rumus tersebut, integral yang diberikan harus dipisah menjadi dua bagian, yaitu satu bagian adalah fungsi (u) dan bagian lain (fungsi yang mengandung dx ) adalah dv. integral parsial teknik tanzalin : $\spadesuit $ konsep dasar *). Bagaimana caranya menggunakan integral parsial tolong.

Hasil dari integral x^2 e^2 dx 1 lihat jawaban j17 j17 gunakan metode tanzalin. Hasil dari integral x akar 2x 5 dx adalah brainly co id. Selengkapnya, penggunaan integral parsial dalam soal dapat diuraikan sebagai berikut contoh soal 01. Demikian beberapa latihan soal integral tentu integral tak tentu integral parsial beserta pembahasannya. 20200830 latihan soal penilaian tengah semester pts 1 matematika kelas 7 smp k13 berbentuk pilihan ganda dengan empat alternatif jawaban.latihan soal uts pts matematika kelas 7 semester 1 ganjil kurikulum 2013.

Contoh soal integral parsial belajar sastra dan seni. Integral Parsial Dan Tanzalin Tolong Dengan Caranya Brainly Co Id
Integral Parsial Dan Tanzalin Tolong Dengan Caranya Brainly Co Id from id-static.z-dn.net
You can do the same for an arbitrary n ∈ z + in the power of cosine. Metode tanzalin metode tanzalin merupakan sistematika untuk memudahkan prosedur pengintegralan parsial. = − 120 + 60π − 5π3 2 + π5 32. 20200830 latihan soal penilaian tengah semester pts 1 matematika kelas 7 smp k13 berbentuk pilihan ganda dengan empat alternatif jawaban.latihan soal uts pts matematika kelas 7 semester 1 ganjil kurikulum 2013. (we need to choose this term for the derivatives column because it will disappear after a few steps.) {d} {x}\right.} du= 2x dx. Sekarang kita akan mempelajari beberapa penggunaan integral tertentu, yaitu untuk menentukan luas suatu daerah dan volume benda putar jika. Tentukan integrasi pecahan parsial 3x 2 8x 63 x 2.

Kalimat negatif bahasa arab refleksi dan blog tutorial.

Cos ax dx = a 1 sin ax + c 6. $\spadesuit $ konsep dasar *). integral tak tentu di gunakan untuk mencari persamaan suatu kurva y = f(x) apabila diketahui turunan pertama dan sebuah titik pada kurva tersebut yaitu: Metode parsial dengan tanzalin jika u dan v tidak memiliki hubungan, yaitu v dx ≠ du soal penyelesaian 1. Menghitung luas dengan membagi kotak. 20200830 latihan soal penilaian tengah semester pts 1 matematika kelas 7 smp k13 berbentuk pilihan ganda dengan empat alternatif jawaban.latihan soal uts pts matematika kelas 7 semester 1 ganjil kurikulum 2013. Dv dx ʃ dv dx oleh karena itu ada suatu metode yang mempermudah pengerjaan integral parsial yang disebut dengan aturan tanzalin. Penambahan dan pengurangan, perkalian dan. tanzalin method is easier to follow, but doesn't work for all functions. ∫x3 cos 2 x dx 9. Fikri dexxa 7 oktober 2016 0323. (this is usually how software like mathcad or graphics calculators perform definite. Namun terkadang kita menemukan kesulitan dalam mengambil pemisalan u dan dv.

Matematika sma integral parsial teknik tanzalin teknik integral substitusi fungsi trigonometri integral integral tentu tak tentu substitusi parsial trigonometri soal integral pengertian sifat rumus contoh soal lengkap dengan jawaban integral luas daerah mudah youtube rumus integral substitusi dan rumus integral parsial idschool. Kontinu, kita dapat mengintegralkan kedua ruas dari persamaan di atas dan memperoleh. Dx = x + c 2. integral ditemukan menyusul ditemukannya masalah dalam differensiasi dimana matemetikawan harus berfikir bagaimana menyelesaikan masalah yang berkebalikan dengan solusi differensiasi. $\clubsuit \, $ konsep dasar :

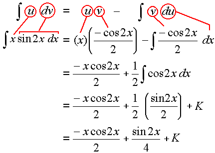
\displaystyle {d} {u}= {2} {x}\ 7 Integration By Parts
7 Integration By Parts from www.intmath.com
Untuk penjelasan teknik integral parsial, silahkan baca artikelnya pada link "teknik integral parsial". Pada rumus tersebut, integral yang diberikan harus dipisah menjadi dua bagian, yaitu satu bagian adalah fungsi (u) dan bagian lain (fungsi yang mengandung dx ) adalah dv. ∫x2 ln x dx 4. Oleh karena itu, rumus tersebut sering disebut integral bagian atau integral parsial. Pembahasan soal integral un sma 2018 beberapa metode yang digunakan untuk menyelesaikan integral tak tentu antara lain dengan metode substitusi integral pa. Pendidikan matematika / 3 universitas peradaban integral parsial yaitu cara pengerjaan integral yang memuat perkalian fungsi, tetapi tidak dapat diselesaikan secara substitusi biasa. Youtube integral parsial.biasanya, cara ini digunakan untuk metode yang ada untuk menyelesaikan soal integral tidak bisa digunakan. Dx` term so we cannot solve it using any of the integration methods we have met so far.

Beberapa rumus cepat integral yang sudah ditemukan adalah.

∫x3 cos 2 x dx 9. Oleh karena itu ada satu teknik yang dapat membantu kita dalam menyelesaikan masalah integral parsial ini dengan menggunakan metode tanzalin. Differentiate with respect to the independent variable. Matematika sma integral parsial teknik tanzalin teknik integral substitusi fungsi trigonometri integral integral tentu tak tentu substitusi parsial trigonometri soal integral pengertian sifat rumus contoh soal lengkap dengan jawaban integral luas daerah mudah youtube rumus integral substitusi dan rumus integral parsial idschool. Untuk penjelasan teknik integral parsial, silahkan baca artikelnya pada link "teknik integral parsial". But the question does not contain an `x\ Hasil dari integral x^2 e^2 dx 1 lihat jawaban j17 j17 gunakan metode tanzalin. Jawaban lengkap dari soal un dan sbmptn untuk kelas 11. Oleh efuansyah, s.pd 06122502008 dosen pengampu : Pertama, kita pisahkan menjadi 2 fungsi. Beberapa rumus cepat integral yang sudah ditemukan adalah. ∫x2 sin 4 x dx 8. Metode tanzalin metode tanzalin merupakan sistematika untuk memudahkan prosedur pengintegralan parsial.

Integral Tanzalin - Soal Tentukan Integral Dari Fungsi Fungsi Berikut Ini Dengan Menggunakan Teknik Tanzalin Intx / Untuk penjelasan teknik integral parsial, silahkan baca artikelnya pada link "teknik integral parsial".. Namun terkadang kita menemukan kesulitan dalam mengambil pemisalan u dan dv. $\clubsuit \, $ konsep dasar : Usehingga kita dapat menggunakan substitusi. (we need to choose this term for the derivatives column because it will disappear after a few steps.) Kita gunakan aturan tanzalin untuk mengerjakan integral tersebut.

Posting Komentar untuk "Integral Tanzalin - Soal Tentukan Integral Dari Fungsi Fungsi Berikut Ini Dengan Menggunakan Teknik Tanzalin Intx / Untuk penjelasan teknik integral parsial, silahkan baca artikelnya pada link "teknik integral parsial"."